Закладки (0)
Порівняння (0)
Каталог
Говоріть
+38 (0XX) XXX-XX
Телефонуйте у Києві
Мобільні оператори
Передзвоніть мені
Кошик Купуйте і збирайте бонуси
Увага! У зв’язку з технічними роботами з 27 жовтня оформлення та видача замовлень із пунктів самовивозу тимчасово недоступні. Будь ласка, заберіть свої замовлення до 26 жовтня включно.

Огляд відеокарти MSI R9 270X GAMING 2G

Відеокарта Radeon R9 270X заснована на графічному процесорі Curacao. Цей GPU є перейменованої і трохи модифікованою версією процесора Pitcairn. В обох модифікаціях використовується однакова кількість потокових процесорів і текстурних блоків. З 1000 до 1050 МГц підвищилася робоча частота ядра, тоді як частота пам'яті збільшилася з 4800 МГц до набагато більшого значення 5600 МГц. Логічним наслідком цих змін є зростання рівня TDP. Ще одна важлива відмінність - офіційна підтримка DirectX свіжої версії 11.2. Поява на ринку Radeon R9 270X розширило ціновий сегмент, раніше обмежений моделями GeForce GTX 660 і Radeon HD 7850. Покупці відразу звернули увагу на новинку, так як це непогана можливість отримати відеокарту досить високого рівня за порівняно низькою ціною.

У цьому огляді буде розглянута відеокарта Radeon R9 270X виробництва компанії MSI, яка поповнила цією моделлю популярну серію Gaming.

Упаковка

Відеоадаптер MSI R9 270X поставляється в картонній коробці оформленої в темних тонах. Ліва половина верхньої кришки демонструє зображення стилізованого дракона, над яким розмістився логотип MSI. Права сторона містить інформацію про назву лежачого всередині пристрою, його приналежності до ігрової лінійці Gaming і наявності системи охолодження Twin Frozr. Також ми бачимо позначку про заводський розгін і рекомендацію від команди киберспортсменов Fnatic.

На бічних і задньої сторони вказані короткі технічні характеристики пристрою і основні особливості. До найбільш важливим слід віднести наявність подвійного BIOS, використання компонентів дуже високої якості, потужну систему охолодження і можливість використовувати утиліту MSI Gaming App для управління режимами GPU і швидкістю вентиляторів.

Лежить всередині графічний адаптер надійно захищений товстим шаром поролону. Додатковий захист створює антистатичний плівка. Така упаковка дозволяє не турбуватися про безпеку транспортування MSI R9 270X GAMING 2G. При цьому вона досить інформативна, а також приємна з естетичної точки зору.

Візуально R9 270X Gaming 2G мало відрізняється від інших представників серії Gaming. Всі вони виконані в єдиному стилі. Характерну зовнішність надає пристрою система охолодження Twin Frozr. Вже згадана модель оснащена останньою модифікацією кулера з великими вентиляторами.

Комплектація

Разом з відеокартою покупець отримує перехідник DVI / D-Sub, інструкція користувача, два перехідника molex-PCI-E (6pin) і оптичний диск з фірмовим програмним забезпеченням.

Всі перехідники та диск знаходяться в окремих пакетах. Розробники не стали включати в набір місток для створення тандему AMD CrossFireX, ймовірно, з метою економії.

Висновок зображення можливий через інтерфейси DVI-I, DVI-D, HDMI і DisplayPort. За допомогою комплектного перехідника можна підключити монітори з інтерфейсом D-Sub. Як бачите, набір портів дозволяє працювати з будь-яким сучасним дисплеєм або телевізором.

Зовнішній вигляд

Лицьова сторона MSI R9 280X оформлена в чорно-червоних кольорах. Довжина відеокарти становить 260 мм, ширина 129 мм, а висота 38 мм. З такими габаритами вона легко поміститься в більшість корпусів, які відносяться до формату Middle Tower.

Додаткові радіатори на зворотному боці відеокарти відсутні, як і захисні силові пластини. Увагу привертає лише контролер підсистеми живлення. Один з гвинтів, якими фіксується система охолодження, забезпечений гарантійної пломбою, тому користувач не зможе демонтувати кулер без втрати гарантії. Щоб задовольнити цікавість комп'ютерних ентузіастів ми зірвемо пломбу і докладно розглянемо систему охолодження і приховані під нею елементи.

Система охолодження

Кулер дуже схожий на систему охолодження графічного адаптера MSI GTX760. Він називається Twin Frozr IV Advanced. Разом з платою СО займає два слота. У конструкції використовуються чотири теплові трубки, що проходять через масивний радіатор. Одна з трубок товща, її діаметр 8 мм. Три залишилися діаметром 6 мм. Пластини радіатора забезпечені спеціальними борозенками, які впливають на напрямок внутрішніх повітряних потоків. Таким шляхом розробники змогли домогтися більш рівномірного охолодження елементів плати.

Зверху до радіатора кріпиться пластиковий кожух, на ньому встановлені два великих вентилятора. У розглянутій відеокарті використовуються десятисантиметрові вентилятори Power Logic, модель PLD10010S12H. Замір показав, що реальний діаметр крильчатки становить приблизно 95 мм. Лопаті мають трохи вигнуту форму, такий дизайн носить ефектне назву «Propeller Blade». У порівнянні зі звичайними вентиляторами, ця конструкція створює більш потужний повітряний потік. Наклейка з написом «Long life bearing» обіцяє тривалий термін служби. Вертушки розділені перегородкою, яка запобігає впливу повітряних потоків один на одного і покращує ефективність обдування. Теплові трубки з'єднуються з основою контактують з кришкою GPU і з ребрами радіатора за допомогою пайки. Трубки покриває захисний шар нікелю, який оберігає мідні елементи від корозії.

Силові елементи ланцюгів харчування і мікросхеми пам'яті накриває металева пластина, яка крім відводу тепла виконує функції захисту плати від механічних деформацій. З метою поліпшення контакту використовуються спеціальні теплопровідні прокладки.

Елементна база

Друкована плата виготовлена ??з якісного текстоліту чорного кольору. При створенні даного графічного прискорювача використовувалася надійна елементна база, відповідна високим вимогам концепції Military Class. На платі розпаяні танталові і твердотілі конденсатори, що відрізняються високою надійністю і дроселі з виконаними з фериту сердечниками.

Підсистема живлення процесора зроблена по 6-фазній схемі. Контролером виступає новий чіп IR 3563B, виробництва компанії International Rectifier. Потужна відеокарта MSI R9 270X GAMING 2G харчується від слоти PCI Express х16 і пари 6-контактних роз'ємів.

Поруч з роз'ємами розташований перемикач мікросхем BIOS. Якщо під час оновлення або розгону виникнуть проблеми, він дозволяє моментально переключитися на працездатний чіп.

У кутку плати розміщений роз'єм, службовець для з'єднання графічних систем за допомогою технології AMD CrossFireX. Вже згадана модель підтримує тандем з двох відеоплат. Якщо потрібно більш серйозна конфігурація, доведеться витратитися на графічний прискорювач MSI R9 280X GAMING 3G, або розглянути аналоги від інших виробників.

Для виміру напруги за допомогою вольтметра, в задній частині плати передбачені контактні площадки. Цю можливість напевно оцінять любителі екстремального розгону, при якому точність показників має велике значення.

Два гігабайти пам'яті відеокарти складається з восьми чіпів ELPIDA W2032BBBG-6A-F ємністю 256 МБ. Вони функціонують на ефективній частоті рівній 5600 МГц. Обмін інформаційними даними між GPU і пам'яттю відбувається за допомогою 256-бітної шини.

Зовнішній огляд MSI R9 270X залишає гарне враження. Прийшов час встановити відеокарту в комп'ютер і почати тестування.

Ефективність системи охолодження

Для початку оцінимо ефективність роботи кулера. У цьому нам допоможуть утиліти MSI Kombustor (створення навантаження) і MSI Afterburner (моніторинг). В автоматичному режимі регулювання обертів вентиляторів, GPU при максимальному навантаженні нагрівся до 68 градусів Цельсія. Потужність вентиляторів при цьому становила всього 24% від максимальної. Рівень шуму можна сміливо віднести до розряду «тихий», він буде комфортним навіть при тривалому використанні.

Примусова установка максимальної швидкості обертання вентиляторів дозволила знизити температуру до 56 градусів. Рівень шуму помітно зріс, до суб'єктивної оцінки «вище середнього», але дискомфорт він навряд чи викличе. Багато відеокарти аналогічного класу шумлять набагато помітніше.

У режимі простою автоматика знизила частоти пам'яті і графічного ядра і вентилятори запрацювали практично безшумно. У цьому режимі температура GPU впала до 33 градусів Цельсія.

Система охолодження Twin Frozr показала прекрасний результат. Вона працює тихо і ефективно, а також володіє солідним запасом потужності, що дуже цінно при проведенні оверклокерських маніпуляцій.

Тестування

Для перевірки MSI R9 270X ми зібрали комп'ютерну систему, що включає материнську плату G1.SNIPER-3 виробництва Gigabyte і процесор Intel Core i7.

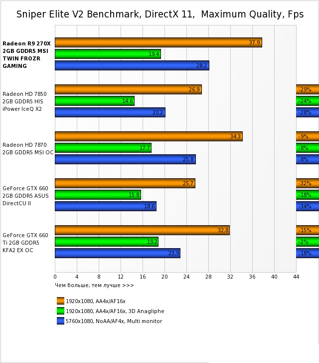
Крім MSI R9 270X в тестуванні взяли участь відеокарти Radeon HD 7850, Radeon HD 7870, GeForce GTX 660 і GeForce GTX 660 Ti. На наведених нижче діаграмах відображені результати декількох тестів.

Підіб'ємо підсумки випробувань. Героїня нашого огляду перевершила HIS Radeon HD 7850 iPower IceQ X2 приблизно на 25% і MSI Radeon HD 7870-2GD5T / OC на 11%. Настільки серйозна перевага їй забезпечують додаткові структурні блоки в графічному ядрі, а також підвищена тактова частота.

Відкрите NVIDIA також помітно відстали. Середні показники MSI R9 270X перевершують ASUS GeForce GTX 660 DirectCU II на 14%. Розрив з MSI N660TI-2GD5 / OC виявився майже непомітним, всього 1%. У багатьох ігрових додатках ця модель виривалася вперед. У нашому тестуванні вона виявилася найбільш серйозним суперником для MSI R9 270X.

У всіх тестах розглянута відеокарта функціонувала в режимі ОС, який був активований за допомогою MSI Gaming App. Динамічна частота процесора в цьому режимі становила 1120 МГц.

Енергоспоживання

Продуктивність і енергоспоживання зазвичай тісно пов'язані один з одним. Дані тести не стали винятком. Як ви бачите на наступній діаграмі, наша піддослідна виявилася не тільки

найбільш продуктивною, але і самої ненажерливої ??в плані енергоспоживання відеокартою.

Під навантаженням, яку створила утиліта Furmark, її енергоспоживання досягло позначки 365 Вт. На другому місці опинилася найближча суперниця MSI N660TI.

Розгін

Наступний крок в перевірці здібностей MSI R9 270X - розгін. Він був виконаний за допомогою утиліти MSI Afterburner. Якщо ви плануєте підвищити напругу, скористаєтеся версією не старше 3.0.0 Beta 17. Більш ранні редакції не підтримують цю операцію. Нам вдалося підвищити частоту GPU до 1220 МГц, отже, приріст склав 8,9% в порівнянні з номінальною частотою даної моделі, і 16,2% в порівнянні з еталонними значеннями. Відеопам'ять вдалося розігнати на 15,7%. З огляду на наявність заводського розгону, ці показники є дуже хорошим результатом.

При проведенні оверклокерських маніпуляцій нас приємно здивувала система охолодження: навіть при розгоні температурні показники не переступили позначку 57 градусів Цельсія, кулер працював на максимальних обертах. Настільки високі результати дозволяють з легкістю використовувати штатну систему охолодження навіть для серйозного розгону. Середній приріст продуктивності в різних додатках склав близько 8%.

MSI Gaming App

Основне призначення програми MSI Gaming App - перемикання режимів роботи відеокарти. В якості основного ми використовували режим ОС з динамічної частотою GPU 1120 МГц. Другий називається Gaming, в ньому відеокарта демонструє дещо меншу продуктивність. Silent, третій доступний режим дозволяє домогтися тихої роботи кулера, але за це доведеться пожертвувати ефективністю роботи. Різниця в продуктивності при використанні різних профілів відображена в наступній таблиці.

У програму вбудована цікава функція, яка називається Cool Down. Вона включає вентилятори на 70% від максимальної потужності на 30 секунд. Це дозволяє швидко охолодити компоненти пристрою після сильних навантажень. Повторно активувати цей режим можна після п'ятихвилинної перерви.

Висновки

MSI R9 270X GAMING 2G практично не має суттєвих недоліків. Вона вийшла вдалим і всебічно продуманим рішенням, з компактними розмірами і потужною начинкою.

Система охолодження MSI Twin Frozr IV Advanced відрізняється дуже тихою роботою і гарною ефективністю. Також вона може похвалитися відмінним запасом потужності.

MSI R9 270X GAMING 2G виглядає відмінним претендентом на роль основної відеокарти в ігровому комп'ютері середнього рівня або елементом для створення високопродуктивної системи з двох відеокарт.

У висновку коротко про найбільш примітних достоїнства і недоліки.

До позитивних моментів відносяться тихий і ефективний кулер, компоненти стандарту Military Class 4, вдала конструкція підсистеми живлення, подвійний BIOS, хороший потенціал для розгону, відмінне фірмове ПО для тестів і розгону.

Недоліки: окремі екземпляри можуть видавати високочастотний шум, вироблений дросселями, відсутність в комплекті містка для використання технології AMD CrossFireX.

Оцініть статтю:
рейтинг: 0 голосів: 0
© 2003 - 2025 , F.ua - ТОЙ САМИЙ МАГАЗИН. Всі права захищені.
Використання будь-яких матеріалів, які розміщені на сайті, дозволяється за умови посилання на F.ua .
Посилання має бути розміщене незалежно від того, як скопійований контент: повністю або частково.
Також рекомендуємо:
 
Вгору
×
Наші телефони
  • (063) 976-2420
  • (067) 374-7500
  • (050) 857-0305
  • (044) 206-206-9
Передзвоніть мені
Ваше ім'я
Ваш телефон
Напишіть нам листа
Ваше ім'я
Ваш email
Текст повідомлення